Publications
-
56
J. Yang, H. Li, Q. Wang*, Q. Liu*, Diastereodivergent construction of disubstituted cyclobutanes via electrochemical cobalt-catalysed reductive coupling, Nat. Synth., 2026, 5, 544-555.
-
55
X. Guo*, Y. Zhao, X. Rong, C. Niu, S. Hu, Q. Liu*, F. You* VDLIN: A Deep Learning-Based Platform for Methylcobalamin-Inspired Immunomodulatory Compound Screening, Adv. Sci., 2026, 13, e13775.
-
54
X. Rong, Y. Ren, Y. Chen, C. Li, J. Wang, Z. Chen, L. Tao*, Z. Wei*, S. Ma*, Q. Liu*, Tunable cobalt-catalysed hydrogenation of allenes enabled by multiple metal–ligand cooperative functionalities, Nat. Chem., 2025, 17, 1469–1479.
-
53
H. Li, M. Fan, Q. Liu*, Dinuclear Magnesium-Catalyzed Hydroboration: Unveiling Metal–Ligand Cooperative Activation of Polar Unsaturated Bonds, J. Am. Chem. Soc., 2025, 147, 37708-37718.
-
52
B. Liu, Q. Lu, X. Hu, D. Li, Z. Xu, X. Lu*, Y. Fu*, Q. Liu*, Regiodivergent Hydroamidation of Alkenes via Cobalt-Hydride Catalysis, J. Am. Chem. Soc., 2025, 147, 13983–13992.
-
51
H. Yang, S. Liu, H. Dong, H. Huang, Y. Wang*, W. Hao*, Y. Lan*, Q Liu*, Amplifying the Reactivity of Anionic Mn(I)–H Catalysts via the Cation Effect: Mechanistic Investigation and Application to the Hydrogenation of α-Trisubstituted Carboxylic Esters, J. Am. Chem. Soc., 2025, 147, 13491–13501.
-
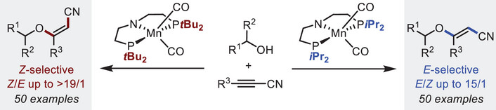
50
H. Yang, H. Huang, Y. Wang*, S. Long*, Q. Liu*, Ligand-Controlled Stereodivergent Manganese-Catalyzed Hydroalkoxylation of Alkynylnitriles to Access (E)- and (Z)-3-Alkoxyvinylnitriles, Angew. Chem. Int. Ed., 2025, 64, e202511311.
-
49
X. Rong, J. Yang, X. Liu, Q. Liu*, Harnessing metal–ligand cooperation in cobalt-catalyzed hydride transfer reactions of non-polar unsaturated compounds, Chem. Commun., 2025, 61, 19555-19567.
-
48
M. Wang, S. Liu, H. Liu, Y. Wang, Y. Lan*, Q. Liu*, Asymmetric hydrogenation of ketimines with minimally different alkyl groups, Nature., 2024, 631, 556-562.
-
47
H. Li, M. Fan, Q. Liu*, Unveiling the Unique Reactivity of Anionic Mn(I) Complexes via Metal–Ligand Cooperation: Nucleophilic Attack on C(sp3)–X Bonds, J. Am. Chem. Soc., 2024, 146, 26649-26656.
-
46
S. Liu, H. Yang, Y. wang, Q. Zhao, Y. Wang*, Q. Liu*, Y. Lan*, Enhancing Hydride Transfer in Catalytic Hydrogenation via σ-Electron-Induced Polarization of Imines, J. Am. Chem. Soc., 2024, 146, 16357-16362.
-
45
Z. Li, B. Liu, C. Yao, G. Gao, J. Zhang, Y. Tong, J. Zhou, Q. Liu*, X. Lu*, Y. Fu*, Ligand-Controlled Cobalt-Catalyzed Regio-, Enantio-, and Diastereoselective Oxyheterocyclic Alkene Hydroalkylation, J. Am. Chem. Soc., 2024, 146, 3405-3415.
-
44
Y. Wang, H. Li, H. Yang, M. Fan, Q. Liu*, Manganese-Catalyzed Regioselective Hydroboration of Quinolines via Metal–Ligand Cooperation, CCS. Chem, 2024, 6, 1535-1546.
-
43
B. Liu, D. Liu, C. Niu, Y. Xia*, X. Lu*, Y. Fu*, Q. Liu*, Cobalt-catalyzed stereoselective synthesis of chiral gem-difluorocyclopropanes with vicinal stereocenters, Org. Chem. Front., 2024, 11, 6617-6626.
-
42
Q. Wang, H. Liu, Q. Liu*, Asymmetric hydrogenation of ketimines with minimally different alkyl groups by anionic manganese catalysts, Chin. Sci. Bul., 2024, 69, 4151-4154. (Highlight for Liu's work: Asymmetric hydrogenation of ketimines with minimally different alkyl groups by anionic manganese catalysts, Nature, 2024, 631, 556-562. )
-
41
H. Huang, Q. Liu*, Synergistic Pd/Cu-Catalyzed 1,5-Double Chiral Inductions, Chin. J. Org. Chem., 2024, 44, 1691-1692.(Highlight for Zhang and Ma's work: Synergistic Pd/Cu-Catalyzed 1,5-Double Chiral Inductions, J. Am. Chem. Soc, 2024, 146, 9241-9251. )